Бабушкин сундучокБисерБолталкаВышивкаВаляниеВязание спицамиЖурналыВязание для женщин спицами. Схемы вязания спицамиВязание спицами аксессуаровВязание спицами для детейВязание спицами для начинающихВязание для мужчин спицами. Схемы вязанияВязание спицами. Работы пользователейВязание шали спицамиИгра "Авантюра" спицамиВязание крючкомДекорДекупажДетское творчествоКартинки для творчестваКонкурсыМир игрушкиМыловарениеНаши встречиНовая жизнь старых вещейНовый годОбмен подаркамиПрочие виды рукоделияРабота с бумагойРукодельный магазинчикСвит-дизайнШитье
Вязаные модели спицами в журнале «Lady Boutique Series №8306 2022»
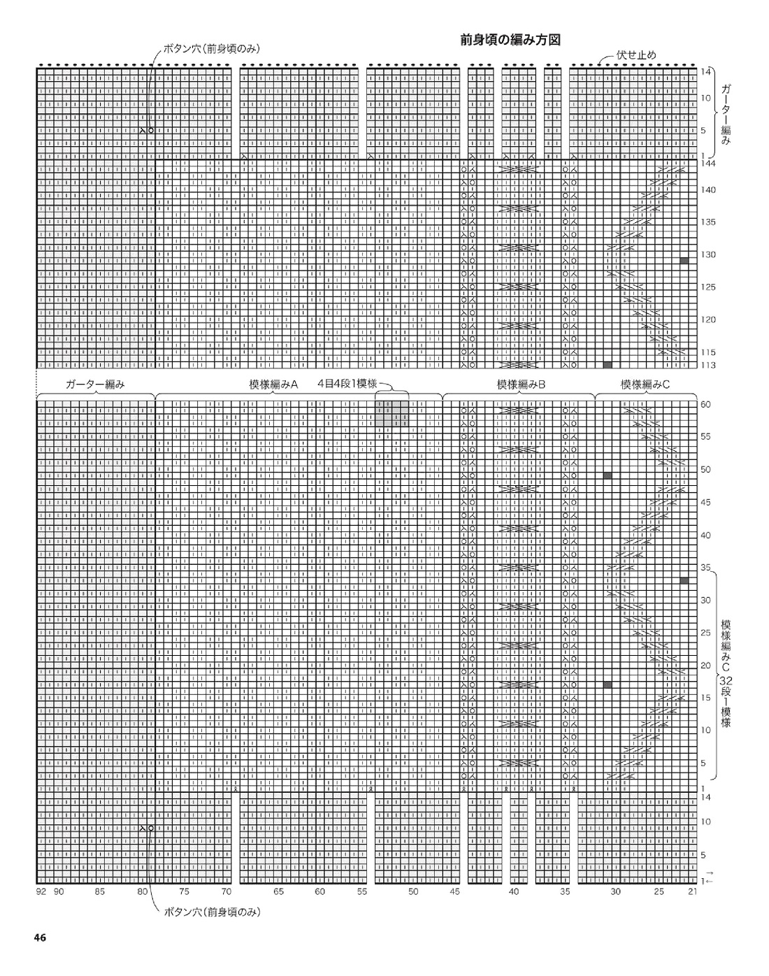
Журнал по вязанию из Японии. В каждом выпуске журнала предложены великолепные современные проекты для вязания крючком и на спицах. В этом выпуске предложена коллекция моделей для осенне-зимнего сезона: разнообразные жакеты и жилеты, пуловеры и джемперы, шапочки, шарфики и ещё много интересных моделей.



















































































































Спасибо
Спасибо!
Спасибо!
Благодарю!
СПАСИБО!
Спасибо.