Бабушкин сундучокБисерБолталкаВышивкаВаляниеВязание спицамиЖурналыВязание для женщин спицами. Схемы вязания спицамиВязание спицами аксессуаровВязание спицами для детейВязание спицами для начинающихВязание для мужчин спицами. Схемы вязанияВязание спицами. Работы пользователейВязание шали спицамиИгра "Авантюра" спицамиВязание крючкомДекорДекупажДетское творчествоКартинки для творчестваКонкурсыМир игрушкиМыловарениеНаши встречиНовая жизнь старых вещейНовый годОбмен подаркамиПрочие виды рукоделияРабота с бумагойРукодельный магазинчикСвит-дизайнШитье
Пуловер с круглой кокеткой, продолжение.
Здравствуйте!
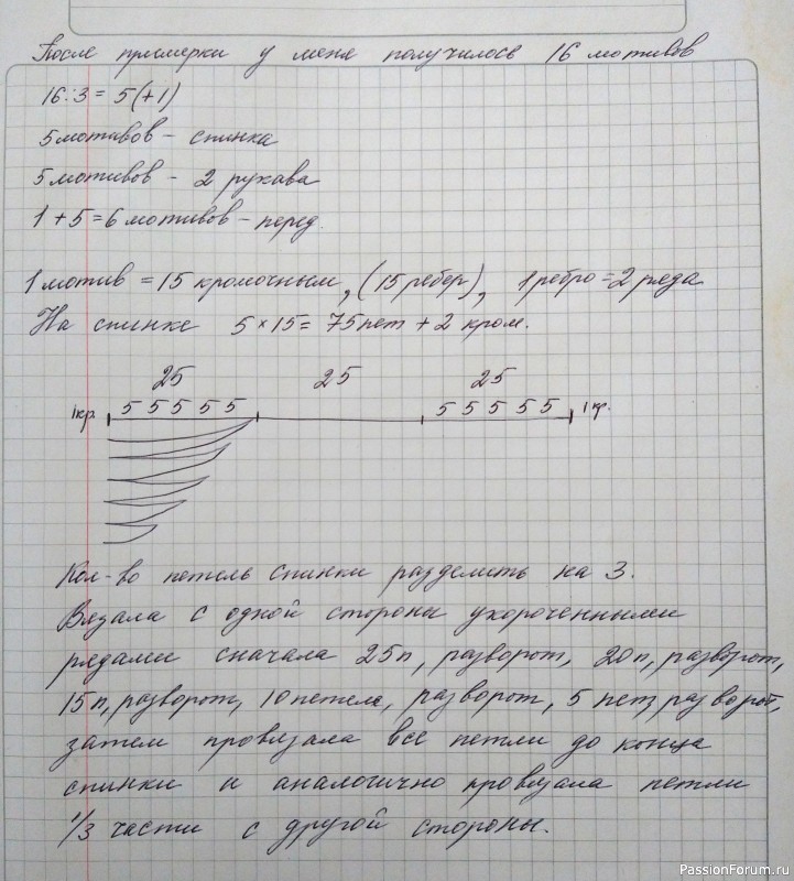
После того как сшила кокетку, подняла петли из кромочных на спицы N 4.
Кол-во мотивов 16.
16:3=5 мотивов и 1 в остатке.
На спинке 5 мотивов.



Провязала 2 ряда. После чего разделила все петли (180 на 6).
180:6=30. Затем 30:2=15.
Продолжила вязание укороченными рядами также, как вяжут росток вверху при вязании горловины.
После чего продолжила вязание по кругу, делая прибавки по 1 петле в каждом 20 ряду, с обеих сторон.
























Надежда, спасибо Вам за подробный мастер-класс. Мне очень нравится такой джемпер, хотелось бы его связать.
Свяжите обязательно, вязать в этой технике очень интересно, легких петелек.

Очень красивая кокетка в технике свинг
Обычная платочная вязка — а какой эффект!
Всё сделано от души и прекрасно!!!
С уважением к Вашему труду, Надежда!
Вы настоящий трудоголик, настоящий талант и очень добрый человек!!!
Не жадничаете, а делитесь мастерством!!!


Спасибо Ирина за Ваш комментарий, мне очень приятно.
Захомячила, спасибо
Творческих успехов и легких петелек.