Бабушкин сундучокБисерБолталкаВышивкаВаляниеВязание спицамиЖурналыВязание для женщин спицами. Схемы вязания спицамиВязание спицами аксессуаровВязание спицами для детейВязание спицами для начинающихВязание для мужчин спицами. Схемы вязанияВязание спицами. Работы пользователейВязание шали спицамиИгра "Авантюра" спицамиВязание крючкомДекорДекупажДетское творчествоКартинки для творчестваКонкурсыМир игрушкиМыловарениеНаши встречиНовая жизнь старых вещейНовый годОбмен подаркамиПрочие виды рукоделияРабота с бумагойРукодельный магазинчикСвит-дизайнШитье
Вязаные проекты в раритетной книге «Traditional Scandinavian Knitting». Продолжение
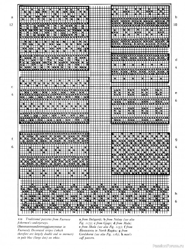
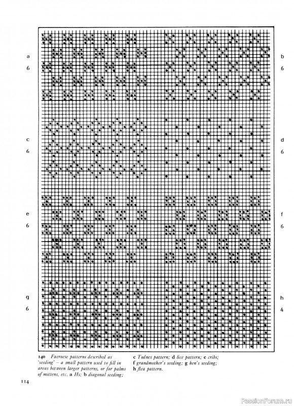
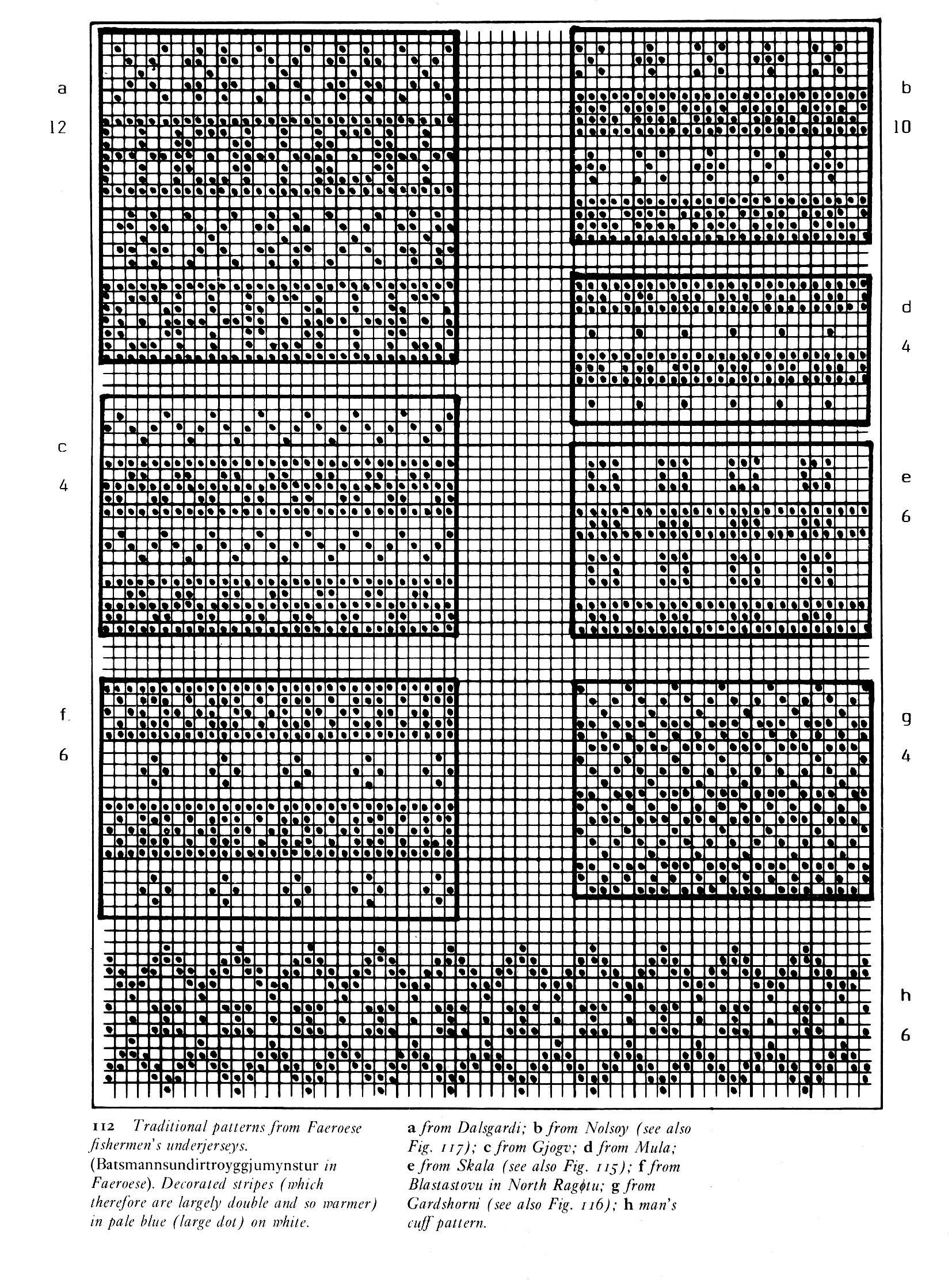
Еще один замечательный справочник по вязанию от Шелии Макгрегор. Она очень похожа на ее книгу "Fair Isle" и включает в себя еще одну замечательную коллекцию узоров, которые можно использовать при создании одежды в любом из североевропейских и исландских стилей вязания.
































































































interessante! obrigado.
Большое спасибо за информацию. Люблю жаккард!