Бабушкин сундучокБисерБолталкаВышивкаВаляниеВязание спицамиЖурналыВязание для женщин спицами. Схемы вязания спицамиВязание спицами аксессуаровВязание спицами для детейВязание спицами для начинающихВязание для мужчин спицами. Схемы вязанияВязание спицами. Работы пользователейВязание шали спицамиИгра "Авантюра" спицамиВязание крючкомДекорДекупажДетское творчествоКартинки для творчестваКонкурсыМир игрушкиМыловарениеНаши встречиНовая жизнь старых вещейНовый годОбмен подаркамиПрочие виды рукоделияРабота с бумагойРукодельный магазинчикСвит-дизайнШитье
Расход пряжи
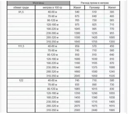
Публикую расход пряжи для вязания спицами-наинужнейшая ВЕЩЬ-заберите-нашла случайно у оптовика на сайте.





















И мужу на 52-54 размер, пряжа 240м/100г, я истратила примерно 5,5 мотков, 1320 м. Рекомендуют 1375. Ну примерно, за основу, брать можно. Спасибо.
Столько нужного!